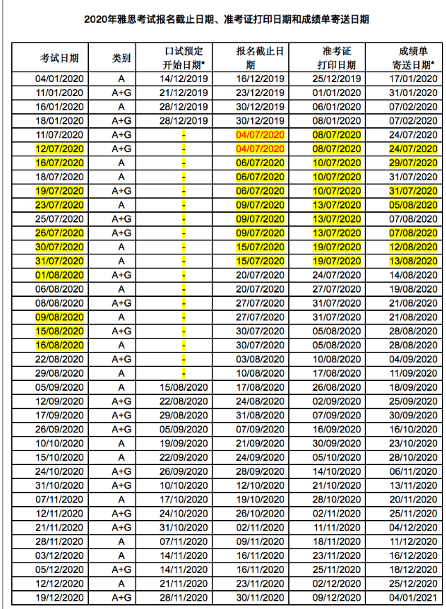
就在刚刚!8月机考、普雅、UKVI统统放考位啦!有图有真相

南昌留学云介绍,目前普通雅思机考考点主要为:雅思重庆机考中心、雅思广州机考中心、雅思上海机考中心(南丰城)、雅思上海机考中心(嘉地中心)
UKVI机考地点为:雅思重庆机考中心、雅思广州机考中心、雅思上海机考中心(南丰城)、雅思上海机考中心(嘉地中心)
UKVI纸考地点如下:石家庄信息工程学院、苏州大学、宁波大学、深圳赛格人才培训中心、西北工业大学、陕西师范大学、四川外国语大学、南昌大学

除此之外,今天官方还公布了以上几点重要信息!
就在刚刚!8月机考、普雅、UKVI统统放考位啦!有图有真相

南昌留学云介绍,目前普通雅思机考考点主要为:雅思重庆机考中心、雅思广州机考中心、雅思上海机考中心(南丰城)、雅思上海机考中心(嘉地中心)
UKVI机考地点为:雅思重庆机考中心、雅思广州机考中心、雅思上海机考中心(南丰城)、雅思上海机考中心(嘉地中心)
UKVI纸考地点如下:石家庄信息工程学院、苏州大学、宁波大学、深圳赛格人才培训中心、西北工业大学、陕西师范大学、四川外国语大学、南昌大学

除此之外,今天官方还公布了以上几点重要信息!